機油流量計的工作原理與流量特性及性能測試
點擊次數:3373 發布時間:2020-11-06 05:29:42
1 機油流量計的工作原理與流量特性
1.1 工作原理
機油流量計是一種帶機械計數器并用于精確測量氣體流量的流量計,其工作原理如圖1 所示:當氣流進入流量計時,*先經過特殊整流器整流并加速,在流體的作用下,渦輪克服阻力矩開始轉動。當力矩達到平衡時渦輪轉速穩定,此時其轉速與氣體工況流量成正比,并通過齒輪減速傳動以及磁耦合聯接驅動字輪計數器轉動,直接累積氣體的工況體積總量。

因通過渦輪的流量與渦輪轉速成正比,高頻信號脈沖輸出頻率 與渦輪轉速存在下列
|=nZ

對一定精度的流量計而言,在一定的流量范圍內,其儀表系數K 應接近常數。理論上儀表系數K 與體積流量q成如下關系,即

式中:K—儀表系數,為工況條件下每立方米通過流量傳感器時輸出的脈沖數,1/m3 ;
q—工況體積流量m3 s 。
綜上所述,儀表系數K 在實際上除渦輪導程、葉片數、葉片寬度、螺旋升角、流量計流體通道等結構因素有關外,還與介質流體粘性、軸承本身阻尼、軸承潤滑油粘度等有關,若以上其中一種或幾種相關因素發生改變,則儀表系數K就會相應改變。故每臺流量計均應通過檢定得出儀表系數。
1.2 流量特性介紹
K—q關系曲線稱為渦輪流量計的流量特性曲線。理論上, K—q關系應是一條水平直線,但實際上由于在不同的流動狀態下,流體產生阻力機理不同,效果也不同,所以使特性曲線成為曲線形狀。 以DN50 為例,如圖2 所示。

由圖2 可見,儀表系數可分為二段,即線性段和非線性段。在非線性段, 實際特性受軸承摩擦力、流體粘性阻力影響較大。當流量低于Qmin 時,儀表系數隨著流量迅速變化。壓力損失與流量的平方成正比關系。通常線性段約為工作段的2/3,其特性與渦輪結構參數及流體粘性有關。隨流量的變化其儀表系數K 也會有一定的變化,但變化不大,通常將其變化幅度稱為流量計的計量準確度。對于產品設計而言,期望能將線性段的流量范圍拓展,一臺流量計能覆蓋同口徑的不同流量范圍,使得產品量程比變寬從而降低生產管理與生產批量加工成本。對于1.0 級的高壓機油流量計,以Qt(0.2Qmax)為分界流量點,將計量線性分為兩段,其中一段的*大允許誤差為±2%,而另一段的*大允許誤差為±1% 。按圖2 所示,通常每臺渦輪流量計均有較為相似特性曲線,若將可測量流量范圍做寬,就能在同口徑不同流量范圍進行分段截取,以實現一臺流量計能覆蓋同口徑的不同流量范圍。
2 高壓渦輪流量計研制
高壓機油流量計主要是由鍛鋼殼體、表芯總成、機械顯示計數器、高壓油泵、高低頻信號輸出(按客戶要求選配)等組成;根據EN12261 要求,設計高壓渦輪流量計內部結構、外觀等并對殼體與軸承進行設計計算;研究高壓供油系統的結構設計,避免軸承潤滑油回流等不良現象;研究渦輪防沖擊結構設計,緩沖因流量波動引起瞬間沖擊力;研究雙向增計數的新型機械計數器,主要解決了流量計由于其單向計數的特性,而導致倒置安裝時出現計數不增反減的問題。
2.1 殼體與軸承設計計算
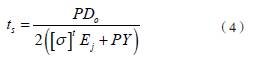
高壓機油流量計殼體作為主要的承壓零部件,應進行強度校核計算。并可將其視為鋼管,并根據標準GB50316 與GB150 中相關規定,計算壁厚ts 計算公式:

式中 ts—計算厚度(mm);
P—設計壓力(MPa);
Do—管子外徑(mm);
—在設計溫度下材料的許用應力(MPa);
Ej —焊接接頭系數;
Y—計算系數。
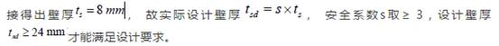
以DN50-PN100 為例,將殼體設計參數代入(4)中直

而對于轉速較高的軸承,軸承可靠度為90%,軸承材料為常規材料,其基本額定動載荷計算公式如下[3]:

將選型軸承的參數代入(5)、(6)中直接得出基本額定動載荷C,而選型軸承的動載荷Cr 必須大于基本額定動載荷C 才能滿足設計要求。
2.2 高壓供油系統
流量計所需軸承潤滑油必須在內部密封、持久、免維護或者采用外部注入的方式。高壓渦輪流量計結構設計應采取外部注入方式進行潤滑軸承。該方式必須克服高壓氣體對潤滑油管反作用力,壓力越高,反作用力越強。對供油系統提出更高的要求,目前行業內的中低壓供油結構已不適用,可能會引起潤滑油回流或密封圈提前失效等問題。
應研制一種高壓供油系統,其主要是通過手動油泵將潤滑油從油杯注入注油腔中,而注油腔中的潤滑油是通過兩只阻回流單向閥以及內置供油管路將潤滑油直接注入需潤滑軸承附近的儲油區內;而手動油泵是由手柄、油泵座、油杯、
活塞、O 型密封圈等組成;該結構設計的亮點在于采用兩只單向閥其一內置油泵,另一嵌入管道,實現雙重阻回流功能,并提高高壓管道供油可靠性;而且將所有油管內置,該供油管路設計結構簡單、緊湊,實現一體化潤滑,順利解決生產過程與搬運物流對外部引油管路造成傷害;
2.3 渦輪防沖擊與高頻信號檢測系統
為了減緩流量波動、管道震動對渦輪生產瞬間沖擊力,研究計量芯的內部結構。通常計量芯中前后軸承均是徑向旋轉作用,對瞬間沖擊力的承受能力有限,若操作不當,對流量計壽命與精度影響甚大??紤]以上因素,對計量芯內部結構進行改進。將主軸的前后軸承作用力分開,前軸承為徑向旋轉作用,后軸承為軸向推力作用,后軸承也可與推力軸承或波紋墊圈配合使用。能有效的抑制流體瞬間沖擊力,并配合渦輪形成反向推力,能較快將渦輪調整至平衡狀態,從而改善渦輪流量計的壽命與精度。
目前國內外取高頻信號傳感器頻率*高大概為2000Hz,而且大部分制造商采取穿過流體通道的方式插入計量芯內部實現信號采取。此方式會引起高、低頻檢定的示值誤差不一致。而我司目前使用的新型高頻旋轉檢測傳感器是通過專業生產廠家特殊定制,所采集的信號是通過渦輪的葉片放大的,對流體通道無任何影響,其頻率*高能達到3 500 Hz 或者更高。通過該傳感技術的應用,并采用新型信號處理放大技術和獨特的濾波技術,有效地剔除壓力波動和管道振動所產生的干擾信號,提高流量計的抗干擾能力。從而克服了因頻率高而丟失信號的難題,提高產品對小流量的靈敏度和精度,更便于用戶高頻檢定操作等。
2.4 雙向增計數的新型機械計數器
目前市場上的機械計數器計數均為正向進氣時計數器正向計數,反向進氣時計數器反走。而帶單向計數功能的渦輪流量計是一種能夠在渦輪流量計左進右出進氣、垂直安裝、水平安裝條件下均能滿足單向計數(單向計數可分為正向計數與反向計數;按目前市場需求,此單向計數便是通常所說的正向計數)。然而,在燃氣計量市場中有部分投機分子為了盜氣等原因將渦輪流量計倒置安裝,使得單向計數器的計數不增反退。為了避免上述問題再次出現,設計具有自主知識產權帶雙向增計數功能的新型渦輪流量計,其中包括渦輪流量計基表、上磁耦合組件、主軸、主錐齒輪、錐齒輪組件和計數字輪組件等。雙向增計數功能實現如圖3 所示,主要是通過增加單向軸承的數量,并對稱分布在主錐齒輪的兩側,通過單向軸承與錐齒輪的緊配合,實現正反進氣情況下始終有一只單向軸承通過其單向特性帶動驅動軸轉動,并由驅動軸帶動另一只因反向而發生自鎖的單向軸承轉動,保證驅動軸始終沿一個方向轉動,從而保證即使倒置安裝,機械計數也會只增不減。該結構設計也能有效解決因管道震動、齒輪反向間隙而引起機械顯示不整齊等問題。

3 高壓渦輪流量計的性能測試
該流量計的研制以歐盟標準EN 12261:2002(Measurement of natural gas flow by turbine meters) 與OIMLR137-1 作為產品設計依據并嚴格按照標準進行性能測試,該性能測試包括:耐久性試驗、彎矩與扭矩試驗、短時過載試驗、擾動試驗、高低溫性能測試等;本文詳細介紹耐久性試驗、彎矩與扭矩試驗
3.1 耐久性測試
渦輪流量計進行耐久性測試的目的在于確認流量計在指定條件下、額定的使用壽命里的計量性能是否符合上述的分段要求,即。

還需確認各種安裝位置是否影響測試樣機的計量性能,安裝位置可分為:水平方向、垂直向上與垂直向下;而且不同安裝位置樣機在耐久性測試前后的指示誤差的變化量不得超過*大允許誤差的1/3。
整個耐久性測試以DN80-G100 樣機為例進行說明,*先是將三臺樣機分別安裝在不同安裝位置的同一管道中,其管道是由0.8 MPa 壓縮氣體為介質以樣機*大流量進行循環運行,以每1 000 h 為運行周期將樣機拆卸并在標準氣體流量裝置做相應性能測試,經過7 000 h 運行如圖4 所示。

從圖4 分析可知:
①該測試樣機滿足耐久性測試要求,指示誤差的變化量未超過*大允許誤差的1/3。
②軸承經過長時間運行磨合更趨于穩定,長期運行后非線性段更趨于理想特性曲線。
3.2 彎矩與扭矩測試
對于高壓機油流量計來說,還應當詳細說明流量計所需求的彎曲與扭力力矩的保護水平。此數據是通過試驗直接獲得,彎矩測試裝置如圖5-a 所示,直管段1 連接氣體流量標準裝置,在直管段2 預先確定的力臂L 位置附加垂直方向的力F 而形成彎矩M;扭矩測試裝置如圖5-b 所示,直管段1 連接氣體流量標準裝置,在直管段2 側面預先確定的力臂L 位置附加垂直方向的力F 而形成扭矩T。而彎矩與扭矩均是作用于流量計入口與出口法蘭處。由于此項測試主要針對流量計強度的校核,為了更有說服力、提高可靠性,故將鋁合金殼體的中低壓渦輪流量計DN80-G100用于此次測試。而整個測試過程是將砝碼F 按EN12261 表10 中要求1 倍、2 倍直至做到4 倍(即力矩為3 040 N·m),未發現流量計殼體有任何異常變化。而測試結果表明在施加砝碼F 之前、過后得到的指示誤差與施加砝碼F 之前的指示誤差未有明顯變化。

3.3 *三方高壓實流檢定測試
為了確認高壓渦輪流量計在高壓氣體介質中計量性能是否滿足工業貿易計量要求,將多臺DN80-G160 樣機發往*三方檢測機構**石油天然氣大流量計量站南京分站進行6 MPa 實流檢定;檢定合格,準確度等級為1.0 級,相對于常壓檢定數據樣機的儀表系數K 有所偏移,但仍在允許誤差范圍內。其中南京分站使用小流量標準裝置對編號為131228041 的DN80 渦輪流量計進行檢定,該樣機在常壓與高壓檢定比對數據如圖6 所示。而流量計的儀表系數K 的計算如下:



根據上式(7)、(8) 并結合圖6 可得出。
①該樣機完全滿足工業貿易計量的指示誤差要求。
②高壓相對于常壓整體線性會向正向偏移+0.65%。
③高壓相對于常壓整體線性較為平穩,而且線性誤差有向理想誤差曲線靠攏的趨勢。
根據實際流量計的所測得儀表系數K 更換對應齒輪傳動比,使機械表頭顯示部分和齒輪轉動發出低頻脈沖輸出均與高頻脈沖輸出匹配,實際三者關系如下:

在機械設計當中,為了降低齒輪模具的投入成本,應通過試驗確認流量計K與i ,以控制i在不同口徑不同流量范圍內的可調區間均是一致的。
4 結束語
研制成功的高壓渦輪流量計順利通過浙江省技術監督檢測研究院各種性能測試并獲得相應型式批準**,該流量計的各項指標和技術性能完全滿足工業貿易計量的要求,而且打破國外高壓長輸管線領域的技術壟斷,為以后積累高壓長輸管線長期運行經驗奠定堅實的基礎。
1.1 工作原理
機油流量計是一種帶機械計數器并用于精確測量氣體流量的流量計,其工作原理如圖1 所示:當氣流進入流量計時,*先經過特殊整流器整流并加速,在流體的作用下,渦輪克服阻力矩開始轉動。當力矩達到平衡時渦輪轉速穩定,此時其轉速與氣體工況流量成正比,并通過齒輪減速傳動以及磁耦合聯接驅動字輪計數器轉動,直接累積氣體的工況體積總量。

因通過渦輪的流量與渦輪轉速成正比,高頻信號脈沖輸出頻率 與渦輪轉速存在下列
|=nZ

對一定精度的流量計而言,在一定的流量范圍內,其儀表系數K 應接近常數。理論上儀表系數K 與體積流量q成如下關系,即

式中:K—儀表系數,為工況條件下每立方米通過流量傳感器時輸出的脈沖數,1/m3 ;
q—工況體積流量m3 s 。
綜上所述,儀表系數K 在實際上除渦輪導程、葉片數、葉片寬度、螺旋升角、流量計流體通道等結構因素有關外,還與介質流體粘性、軸承本身阻尼、軸承潤滑油粘度等有關,若以上其中一種或幾種相關因素發生改變,則儀表系數K就會相應改變。故每臺流量計均應通過檢定得出儀表系數。
1.2 流量特性介紹
K—q關系曲線稱為渦輪流量計的流量特性曲線。理論上, K—q關系應是一條水平直線,但實際上由于在不同的流動狀態下,流體產生阻力機理不同,效果也不同,所以使特性曲線成為曲線形狀。 以DN50 為例,如圖2 所示。

由圖2 可見,儀表系數可分為二段,即線性段和非線性段。在非線性段, 實際特性受軸承摩擦力、流體粘性阻力影響較大。當流量低于Qmin 時,儀表系數隨著流量迅速變化。壓力損失與流量的平方成正比關系。通常線性段約為工作段的2/3,其特性與渦輪結構參數及流體粘性有關。隨流量的變化其儀表系數K 也會有一定的變化,但變化不大,通常將其變化幅度稱為流量計的計量準確度。對于產品設計而言,期望能將線性段的流量范圍拓展,一臺流量計能覆蓋同口徑的不同流量范圍,使得產品量程比變寬從而降低生產管理與生產批量加工成本。對于1.0 級的高壓機油流量計,以Qt(0.2Qmax)為分界流量點,將計量線性分為兩段,其中一段的*大允許誤差為±2%,而另一段的*大允許誤差為±1% 。按圖2 所示,通常每臺渦輪流量計均有較為相似特性曲線,若將可測量流量范圍做寬,就能在同口徑不同流量范圍進行分段截取,以實現一臺流量計能覆蓋同口徑的不同流量范圍。
2 高壓渦輪流量計研制
高壓機油流量計主要是由鍛鋼殼體、表芯總成、機械顯示計數器、高壓油泵、高低頻信號輸出(按客戶要求選配)等組成;根據EN12261 要求,設計高壓渦輪流量計內部結構、外觀等并對殼體與軸承進行設計計算;研究高壓供油系統的結構設計,避免軸承潤滑油回流等不良現象;研究渦輪防沖擊結構設計,緩沖因流量波動引起瞬間沖擊力;研究雙向增計數的新型機械計數器,主要解決了流量計由于其單向計數的特性,而導致倒置安裝時出現計數不增反減的問題。
2.1 殼體與軸承設計計算
高壓機油流量計殼體作為主要的承壓零部件,應進行強度校核計算。并可將其視為鋼管,并根據標準GB50316 與GB150 中相關規定,計算壁厚ts 計算公式:

式中 ts—計算厚度(mm);
P—設計壓力(MPa);
Do—管子外徑(mm);
—在設計溫度下材料的許用應力(MPa);
Ej —焊接接頭系數;
Y—計算系數。
以DN50-PN100 為例,將殼體設計參數代入(4)中直

而對于轉速較高的軸承,軸承可靠度為90%,軸承材料為常規材料,其基本額定動載荷計算公式如下[3]:

將選型軸承的參數代入(5)、(6)中直接得出基本額定動載荷C,而選型軸承的動載荷Cr 必須大于基本額定動載荷C 才能滿足設計要求。
2.2 高壓供油系統
流量計所需軸承潤滑油必須在內部密封、持久、免維護或者采用外部注入的方式。高壓渦輪流量計結構設計應采取外部注入方式進行潤滑軸承。該方式必須克服高壓氣體對潤滑油管反作用力,壓力越高,反作用力越強。對供油系統提出更高的要求,目前行業內的中低壓供油結構已不適用,可能會引起潤滑油回流或密封圈提前失效等問題。
應研制一種高壓供油系統,其主要是通過手動油泵將潤滑油從油杯注入注油腔中,而注油腔中的潤滑油是通過兩只阻回流單向閥以及內置供油管路將潤滑油直接注入需潤滑軸承附近的儲油區內;而手動油泵是由手柄、油泵座、油杯、
活塞、O 型密封圈等組成;該結構設計的亮點在于采用兩只單向閥其一內置油泵,另一嵌入管道,實現雙重阻回流功能,并提高高壓管道供油可靠性;而且將所有油管內置,該供油管路設計結構簡單、緊湊,實現一體化潤滑,順利解決生產過程與搬運物流對外部引油管路造成傷害;
2.3 渦輪防沖擊與高頻信號檢測系統
為了減緩流量波動、管道震動對渦輪生產瞬間沖擊力,研究計量芯的內部結構。通常計量芯中前后軸承均是徑向旋轉作用,對瞬間沖擊力的承受能力有限,若操作不當,對流量計壽命與精度影響甚大??紤]以上因素,對計量芯內部結構進行改進。將主軸的前后軸承作用力分開,前軸承為徑向旋轉作用,后軸承為軸向推力作用,后軸承也可與推力軸承或波紋墊圈配合使用。能有效的抑制流體瞬間沖擊力,并配合渦輪形成反向推力,能較快將渦輪調整至平衡狀態,從而改善渦輪流量計的壽命與精度。
目前國內外取高頻信號傳感器頻率*高大概為2000Hz,而且大部分制造商采取穿過流體通道的方式插入計量芯內部實現信號采取。此方式會引起高、低頻檢定的示值誤差不一致。而我司目前使用的新型高頻旋轉檢測傳感器是通過專業生產廠家特殊定制,所采集的信號是通過渦輪的葉片放大的,對流體通道無任何影響,其頻率*高能達到3 500 Hz 或者更高。通過該傳感技術的應用,并采用新型信號處理放大技術和獨特的濾波技術,有效地剔除壓力波動和管道振動所產生的干擾信號,提高流量計的抗干擾能力。從而克服了因頻率高而丟失信號的難題,提高產品對小流量的靈敏度和精度,更便于用戶高頻檢定操作等。
2.4 雙向增計數的新型機械計數器
目前市場上的機械計數器計數均為正向進氣時計數器正向計數,反向進氣時計數器反走。而帶單向計數功能的渦輪流量計是一種能夠在渦輪流量計左進右出進氣、垂直安裝、水平安裝條件下均能滿足單向計數(單向計數可分為正向計數與反向計數;按目前市場需求,此單向計數便是通常所說的正向計數)。然而,在燃氣計量市場中有部分投機分子為了盜氣等原因將渦輪流量計倒置安裝,使得單向計數器的計數不增反退。為了避免上述問題再次出現,設計具有自主知識產權帶雙向增計數功能的新型渦輪流量計,其中包括渦輪流量計基表、上磁耦合組件、主軸、主錐齒輪、錐齒輪組件和計數字輪組件等。雙向增計數功能實現如圖3 所示,主要是通過增加單向軸承的數量,并對稱分布在主錐齒輪的兩側,通過單向軸承與錐齒輪的緊配合,實現正反進氣情況下始終有一只單向軸承通過其單向特性帶動驅動軸轉動,并由驅動軸帶動另一只因反向而發生自鎖的單向軸承轉動,保證驅動軸始終沿一個方向轉動,從而保證即使倒置安裝,機械計數也會只增不減。該結構設計也能有效解決因管道震動、齒輪反向間隙而引起機械顯示不整齊等問題。

3 高壓渦輪流量計的性能測試
該流量計的研制以歐盟標準EN 12261:2002(Measurement of natural gas flow by turbine meters) 與OIMLR137-1 作為產品設計依據并嚴格按照標準進行性能測試,該性能測試包括:耐久性試驗、彎矩與扭矩試驗、短時過載試驗、擾動試驗、高低溫性能測試等;本文詳細介紹耐久性試驗、彎矩與扭矩試驗
3.1 耐久性測試
渦輪流量計進行耐久性測試的目的在于確認流量計在指定條件下、額定的使用壽命里的計量性能是否符合上述的分段要求,即。

還需確認各種安裝位置是否影響測試樣機的計量性能,安裝位置可分為:水平方向、垂直向上與垂直向下;而且不同安裝位置樣機在耐久性測試前后的指示誤差的變化量不得超過*大允許誤差的1/3。
整個耐久性測試以DN80-G100 樣機為例進行說明,*先是將三臺樣機分別安裝在不同安裝位置的同一管道中,其管道是由0.8 MPa 壓縮氣體為介質以樣機*大流量進行循環運行,以每1 000 h 為運行周期將樣機拆卸并在標準氣體流量裝置做相應性能測試,經過7 000 h 運行如圖4 所示。

從圖4 分析可知:
①該測試樣機滿足耐久性測試要求,指示誤差的變化量未超過*大允許誤差的1/3。
②軸承經過長時間運行磨合更趨于穩定,長期運行后非線性段更趨于理想特性曲線。
3.2 彎矩與扭矩測試
對于高壓機油流量計來說,還應當詳細說明流量計所需求的彎曲與扭力力矩的保護水平。此數據是通過試驗直接獲得,彎矩測試裝置如圖5-a 所示,直管段1 連接氣體流量標準裝置,在直管段2 預先確定的力臂L 位置附加垂直方向的力F 而形成彎矩M;扭矩測試裝置如圖5-b 所示,直管段1 連接氣體流量標準裝置,在直管段2 側面預先確定的力臂L 位置附加垂直方向的力F 而形成扭矩T。而彎矩與扭矩均是作用于流量計入口與出口法蘭處。由于此項測試主要針對流量計強度的校核,為了更有說服力、提高可靠性,故將鋁合金殼體的中低壓渦輪流量計DN80-G100用于此次測試。而整個測試過程是將砝碼F 按EN12261 表10 中要求1 倍、2 倍直至做到4 倍(即力矩為3 040 N·m),未發現流量計殼體有任何異常變化。而測試結果表明在施加砝碼F 之前、過后得到的指示誤差與施加砝碼F 之前的指示誤差未有明顯變化。

3.3 *三方高壓實流檢定測試
為了確認高壓渦輪流量計在高壓氣體介質中計量性能是否滿足工業貿易計量要求,將多臺DN80-G160 樣機發往*三方檢測機構**石油天然氣大流量計量站南京分站進行6 MPa 實流檢定;檢定合格,準確度等級為1.0 級,相對于常壓檢定數據樣機的儀表系數K 有所偏移,但仍在允許誤差范圍內。其中南京分站使用小流量標準裝置對編號為131228041 的DN80 渦輪流量計進行檢定,該樣機在常壓與高壓檢定比對數據如圖6 所示。而流量計的儀表系數K 的計算如下:



根據上式(7)、(8) 并結合圖6 可得出。
①該樣機完全滿足工業貿易計量的指示誤差要求。
②高壓相對于常壓整體線性會向正向偏移+0.65%。
③高壓相對于常壓整體線性較為平穩,而且線性誤差有向理想誤差曲線靠攏的趨勢。
根據實際流量計的所測得儀表系數K 更換對應齒輪傳動比,使機械表頭顯示部分和齒輪轉動發出低頻脈沖輸出均與高頻脈沖輸出匹配,實際三者關系如下:

在機械設計當中,為了降低齒輪模具的投入成本,應通過試驗確認流量計K與i ,以控制i在不同口徑不同流量范圍內的可調區間均是一致的。
4 結束語
研制成功的高壓渦輪流量計順利通過浙江省技術監督檢測研究院各種性能測試并獲得相應型式批準**,該流量計的各項指標和技術性能完全滿足工業貿易計量的要求,而且打破國外高壓長輸管線領域的技術壟斷,為以后積累高壓長輸管線長期運行經驗奠定堅實的基礎。