靶式流量計使用說明書
點擊次數:4276 發布時間:2021-03-16 09:15:42
一、概述
1、工作原理
當介質在測量管中流動時,因其自身的動能通過阻流件(靶片)時而產生的壓差,并對阻流件有一作用力,其作用力的大小與介質流速的平方成正比。阻流件(靶片)接受的作用力F,經剛性連接的傳遞件(測桿)傳至雙電容傳感器,雙電容傳感器產生電容差經高精度AD芯片進行處理,直接輸出數字信號,由此,通過AD轉換及計算機處理后,即可得到相應的瞬時流量和累積總量,其工作原理見示意(圖1):

2、結構
電容式靶式流量計主要由測量管(外殼)、雙電容傳感器(含阻流元件)、積算顯示和輸出部分組成。根據不同的介質和工況,必須選用相適應的雙電容傳感器,因此,用戶提供準確的計量對象及參數,生產廠家選用合適的電容力傳感器是產品能否計量準確的關鍵。其結構如右(圖2):

3、特點
1.采用大屏液晶顯示,可同時顯示多組參量,讀數更直觀;
2.整臺儀表在設計中無可動部件,插入式結構,拆卸方便;
3.可選用多種防腐及耐高低溫材質(如哈氏合金,鈦等);
4.整機可做成全密封無死角(焊接形式),無任何泄漏點,可耐42MPa高壓;
5.儀表內設自檢程序,故障現象一目了然;
6.傳感器不與被測介質接觸,不存在零部件磨損,使用安全可靠;
7.具有多種安裝方式供選擇,如選擇在線插入式,安裝費用低;
8.具有一體化溫度、壓力補償,直接輸出質量或標方;
9.具有可選小信號切除、非線性修正、濾波時間可選擇;
10.能準確測量各種常溫、高溫500度、低溫-200度工況下的氣體、液體流量;
11.計量準確,精度可達到0.2%;
12.重復性好,一般為0.05~0.08%,測量快遞;
13.壓力損失小,僅為標準孔板的1/2△P左右;
14.抗干擾,抗雜質能力特強;
15.可根據實際需要更換阻流件(靶片)而改變流量范圍;
16.安裝簡單方便,極易維護;
17.多種輸出形式,能遠傳各種參數;
18.抗震動性強,一定范圍內可測脈動流。
4、技術指標

5、外形及尺寸



連接短管及法蘭公稱直徑氣體采用DN100mm,液體采用DN50mm,法蘭規格采用國標1.6MPa、2.5MPa、4.0MPa,密封面形式RF。
4.連接法蘭規格
a、法蘭規格:公稱壓力0.6MPa~42.0MPa;
b、法蘭尺寸主要采用**標準GB/T系列,并可采用化工行業標準HG系列、機械行業標準JB/T系列,也可協商提供按照客戶要求的法蘭。
6、流量計的安裝及要求
1.流量計的安裝
高溫型(80度至500度)、常溫型(-30度至70度)、低溫型(-200度至-40度)
a.常溫型、低溫型、高溫型流量計視不同工況采用水平、垂直或倒置式安裝(以出廠效驗單為準);
b.介質工作溫度在300度以上時,用戶應對流量計殼體采取隔熱措施防止熱輻射損壞表頭(表頭工作溫度為-30至70度),同理工作溫度-100度以下的介質,也要采取防凍措施;
c.為保證流量計準確計量,要求設置前后直管段;(圖8)
d.為保證流量計在檢查及更換時不影響系統工作,應盡量設置旁通閥(3)及切斷閥(1、2);(圖8)
e.因工藝需要可采用垂直安裝,被測介質流向可由下至上,也可由上至下,但訂購時應向供貨方說明;
f.流量計口徑與相連的管道口徑尺寸盡量相同,以減少流動干擾,造成計量誤差;
g.法蘭式和夾裝式流量計安裝時,應注意法蘭之間密封墊片內孔尺寸大于流量計和工藝管道通徑6-8mm及否同軸,以避免因其產生干擾流而影響計量精確度;
h.插入式流量計安裝時,將短管及法蘭焊到管道上時必須確保流體正對著靶片受力面,焊接短管高度在100mm(從管道內壁至法蘭密封面的距離);(圖9)
i.對于新完工的工藝管道,應先進行初步吹掃后再安裝流量計;
j.測量管外壁上箭頭所指方向為被測介質流向;
k.流量計殼體必須可靠接地,若無接地條件應向廠方說明;
l.流量計連接法蘭規格執行GB/T系列標準,也可以根據用戶要求特殊加工(以出廠效驗單為準)。

1、2、3分別為前后閥和旁通閥;4為流量計,L≥10D和L≥5D分別為前后直管段長度,D為管道公稱直徑。

2.流量計設置零點
注:(流量計安裝后必須先進置零操作)
由于電容式力傳感器及阻流件有自重,在流量計安裝時不在水平方位狀況下,需要重新設置流量計零點。
操作程序為:(也可在管道內無介質流動時直接置零,高溫型及低溫型流量計必須使管道內溫度達到工作溫度后置零)

a.關閉流量計下游的閥門;
b.緩慢打開流量計上游閥門,使流量計充滿介質;
c.緩慢打開流量計下游閥門,使流量計運行10分鐘左右;
d.關閉流量計上、下游閥門,并確定管道內流量為零;
e.用白紙或手指按在“ZERO”位置不小于3S;見(圖10)

7、注意事項
不允許直接在流量計測量管前后端安裝閥門、彎頭等極大改變流體流態的部件。
如果需要在流量計前后管道上安裝閥門、彎頭等部件也應盡量保證前后直管段長度。
8、接線
a、24V供電型
1.24V供電型流量可具備多種輸出方式,
a.電流輸出:4~20mA;電源:16-32VDC,二線制;
b.脈沖輸出:0~1000Hz;內阻1000Ω;電源:16-32VDC;10mA(帶背光20mA);
c.RS485接口:電源:16-32VDC;10mA(帶背光20mA);
d.電流輸出+HART:4~20mA;電源:16-32VDC,二線制;
2.電流輸出特性(圖4)

以上圖中Imin為流量計*小顯示流量所對應的電流輸出值,其輸出值的大小為:

同理:可計算出滿量程輸出范圍內任-輸出電流及對應流量值。
3.0~1000HZ脈沖輸出特性(圖5)

4.儀表接線
a.流量計信號輸出線電氣連接口規格為:M20×1.5
b.4~20mA電流輸出為二線制(圖6)
c.脈沖輸出為三線制(圖7)

b、3.6V電池供電型
3.6V電池供電型的流量計,無法顯示電池的容量,當電池電壓越來越低時,顯示會慢慢變模糊,應**更換電池。更換電池應為相同技術參數的電池,我公司電池可使用兩年。(可向我廠咨詢或購買)
為提高電池的使用時間,可通過修改濾波系數LP參數,該值設置越大,則代表可以使用更長時間,但流量計采集速度將會變慢。
二、操作說明
1、面板
流量計為三按鍵方式,另加一個外部置零鍵
1.set鍵:進入參數設置,保存當前參數并進入一下參數
2.<鍵:左移鍵或置零鍵
3.∧鍵:增加鍵
4.ZERO鍵:外部置零鍵
5.瞬時流量:5位顯示,范圍:0~99999
6.累積流量:9顯示,范圍:0~99999999.9

2、零點設置
流量計操作:按住“<”或外部置零鍵三秒以上,

注:置零后,通過輕按“SET”鍵,返回到正常界面,或60S內不作任何操作后,自動返回測量狀態。
3、累積流量清零
在正常工作顯示模式狀態下,同時按住“SET”鍵和“∧”鍵3秒即可,清零后,累積流量還未保存,需要保持不斷電60S以上才會保存,故若請零誤操作可**斷電,上電后即可自動恢復清零前的值。
4、參數操作
在正常狀態下,按住“SET”鍵三秒后,進入參數設置模式,累積量左側顯示參數符號,右側顯示參數值,依次按“SET”鍵保存參數并顯示下一參數符號;在參數設定模式,按住“SET”鍵三秒后,返回到PV/SV正常顯示狀態。
注意:儀表具有顯示回復功能,當處于設定模式或參數設定模式達到60S內無任何按鍵動作時,則儀表自動返回到正常顯示模式,本次所有修改的參數將不保存。

5、參數說明
1.流量系數C1
C1參數設置范圍為0-59999,流量系數的設置方法,
標準器給出的累積流量標準值為Q標;
流量計的累積量讀數為Q表;
按住“SET”鍵3秒時入參數設置狀態,讀出儀表當前的流量參數C1(舊);
按公式C1(新)=C1(舊)×Q標/Q表,計算出新的流量系數C1新;
然后將新的流量系數替代原有的流量系數C1(舊)。
2.介質密度P(單位:kg/m3)
當測量介質為液體時,介質密度的設置值默認無小數,即參數值為1267,則代表1267kg/m3;
當測量介質為氣體或蒸汽時,介質密度的設置值默認3小數,即參數值為1267,則代表1.267kg/m3;
修改密度值將直接影響流量值,故在修改流量系數前,必須先確保密度參數設置無誤。
3.傳感器修正1(P1)、傳感器修正2(P2)
此參數在出廠已設置為*佳值,一般不用在修改,當儀表零參數偏移過多時,可通過該參數設置,當進入該參數設置狀態時,下排數字將顯示當前傳感器的AD碼,P1越大,AD值越小,而P2越大,AD值越大,P1、P2值的大小,以AD碼在10000至15000為*佳值。
注:修改P1、P2值必須在0流量的狀態調整,且調整后須重新置零。
4.流量量程F
修改流量程F,不會改變顯示值,但會影響到模擬輸出值,0流量固定對應4mA,量程F對應20mA,F參數小數點位置參數Pi決定,累積流量的小數固定比瞬時流量多1位;
5.小信號切除Fo
Fo參數用來切除在介質未流動時還有微小流量時歸零,如,量程F=2000kg,Fo=5時,則實際流量切除量2000×5%=100,即當實際流量小于100kg時,顯示值強制處理為0kg。
6.濾波系數LP
LP參數可以平滑流量值,可提高流量的穩定性,設置范圍:0-21;
7.參數鎖LC
流量計設計有多級參數,可通過LC的設置查看不同級別的參數;
LC=1000:可以查看、修改一、二級參數;
LC=5000:可以查看、修改一、二、三級參數;
四級參數為工廠參數,密碼請向生產商索取;
8.4mA輸出DA碼Ⅰ0
在參數設置狀態下并處于該參數時,流量計將強制電流輸出為4mA,可通過修改該值直到實際電流輸出4mA;
9.20mA輸出DA碼Ⅱ
在參數設置狀態下并處于該參數時,流量計將強制電流輸出為20mA,可通過修改該值直到實際電流輸出20mA;
10.單位及功能開關EU

11.小數點及溫壓補償Pi

A.Pi參數的十位數用來確定測量介質類型及補償方式
Pi+位=0:無補償方式(液體,密度由參數P決定)
Pi+位=1:壓縮氣體,溫度和壓力補償。采用理想氣體汽態方程補償,須將參數P設置為標準密度。
Pi+位=2:飽和蒸汽,壓力補償。采用查表方式補償。
Pi+位=3:飽和蒸汽,溫度補償。采用查表方式補償。
Pi+位=4:過熱蒸汽,溫度和壓力補償。采用查表方式補償。
Pi+位=5:壓縮氣體,不帶溫度和壓力補償,流量運算時直接取參數P為密度。
Pi+位=6:蒸汽,不帶溫度和壓力補償,流量運算時直接取參數P為密度。
Pi+位=其它值:無補償方式(液體,密度由參數P決定,主界面顯示溫度、壓力密度)
B.Pi參數的百位數用來確定測量壓力單位(顯示值固定為表壓值)
Pi百位=0:MPa單位,默認小數點后三位
Pi百位=其它:KPa單位,默認小數點后兩位
C.Pi參數的千位數用來確定測量溫度單位
Pi千位=0:攝氏度℃,默認小數點后一位
Pi千位=其它值:華氏度℉,默認小數點后一位
注:選擇華氏度時,只在顯示上轉換為華氏度,內部計算及通訊數據均使用攝氏度。
12.輔助參數顯示d0

累積量尾數:可用于校驗時可得到更高的精度,如當累積量為123.2345kg,累積量尾數為3212時,則代表當前累積值為:123.23453212kg。
13.溫度修正值OS
當流量計帶有溫度補償功能,儀表將顯示所測量的介質溫度,當顯示值與實際溫度有偏差時,可通過修改OS進行修正;
OS參數設置范圍為500~1500,當顯示值比實際溫度值偏大3.0度時,則OS=970,若是偏大3度,則OS=1030;若不修正,則OS=1000;
14.壓力下限FL及壓力上限FH
當流量計帶有壓力補償時,用于設置壓力變送器輸出4~20mA對應的壓力,一般設置相對壓力值(表壓)。
15.設計溫度t0及壓力P0(絕對壓力)
當選擇壓縮氣體補償方式,需要提供介質初始壓力及溫度,一般t0=25.0℃,P0=101(即101KPa)
16.通訊參數UA

17.分段修正系統1C~9C
當需要更高的流量精度,可對流量進行分段修正;
修正方法:實際流量系數=C1×(*C)/1000;
如:在20%的量程時的流量與實際流量偏大5%時,則2C=1000-1000*5%=950;
在40%的量程時的流量與實際流量偏小在4.3%時,則2C=1000+1000*4.3%=1043;
18.零點值E1
E1為置零時的保存值,該值可手動修改。
19.壓力校準值Po、PF
Po為壓力零點值,PF為壓力滿量程值,該值可手動修改,也可長按“<”鍵3S直接校準。
20.溫度校準值tF
tF為200Ω輸入的校準值,該值可手動修改,也可長按“<”鍵3S直接校準。
三、功能介紹
1.溫壓補償
靶式流量計所測量的流量為體積流量,當所測介質密度受溫度、壓力變化的影響較大時(如氣體類),流量計測量的結果將會產生較大誤差,為了得到較高的測量精度,需要實時采集溫度、壓力參數,并計算出實時工況的介質密度,從而可得到準確的質量流量。
2.流量非線性修正
為提高流量計的測量精度,采用插值算法自動對流量系數進行校正,可精度的校正流量計的線性誤差。
流量計可設置9個流量修正系數,分別對10%、20%、30%、40%、50%、60%、70%、80%、90%的測量點,所有修正系數值默認小數后3位,均為流量系數C1為基礎。
修正方法:實際流量系數=(*C)×C1/1000;
舉例:2C=1010,3C=1004,當前瞬時流量是滿程的25%,進行插值算法,則25%點的修正系數為1007;
實際流量系數=C1×(1007/1000);
3.溫度修正
當流量計具備溫度補償時,所以安裝位置、引線等可能存在測量誤差,當出現此種情況時,可通過溫度修正值進行修正,修正計算方法如下:
測量結果=采集溫度-(1000-修正值oS)/10
舉例:標準溫度為250℃,但流量計顯示251.3℃,則代入公式計算得到
250=251.3-(1000-修正值oS)/10 則oS=987;
標準溫度為270℃,但流量計顯示268.3℃,則代入公式計算得到
270=268.3-(1000-修正值oS)/10 則oS=1017;
四、通訊功能
1.MODBUS-RTU通訊
儀表采用標準MODBUS-RTU協議,數據格式:無校驗、8位數據、1位停止位,高字節在前,低字節在后。

五、流量計檢定
每臺流量計出廠時均經過嚴格的檢定,但在使用中因環境的變化,安裝條件的差異,尤其是在被測介質與原檢定介質相差甚大的條件下,流量計在計量過程中會出現相應的示值誤差,需要對其進行重新檢定。用戶在對流量計進行檢定時可按以下兩種方法進行:
1.電容式靶式流量計實流檢定
電容式靶式流量計在檢定過程中可參照速度流量計檢定規程進行,動態流量檢定和總量檢定。如果在檢定過程中,流量計出現誤差,參照《儀表誤差修正方法》中的方法和步驟。
2.干式檢定,即采用砝碼掛重法
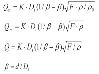
在采用干式法檢定時,*先根據以下公式計算出各流量點作用于阻流件(靶)上的力F

式中:Qm--質量瞬時流量(kg/h);Qn--標準狀態體積瞬時流量(Nm3/h);Q--體積瞬時流量(m3/h);
K--流量系數;Di--流量計內徑(mm);F--介質作用于阻流件(靶)上的力(Kg);
ρ--被測介質的工況密度(Kg/m3);ρo--標準狀態下的介質密度(Kg/m3);
β--靶徑比;d--阻流件(靶)直徑;
上式中系數K由生產廠家提供,用戶可利用公式依次計算出儀表流量范圍內瞬時流量Q與介質作用于阻流件上的力F間相對應的關系值,從而對儀表進行標定。掛砝碼方法:
a.*先將流量計垂直固定住不動(相當重要),將流量計靶片受力面向上保證靶片水平;
b.在保持流量計靜止狀態下清零,用細繩子拴住所計算出的砝碼重量掛在靶片的中心點上,砝碼垂直于靶片中心點下。這時觀看表頭瞬時流量值(環境不得有振動及風),并記錄下,再根據所算出的標準瞬時流量值進行流量系數修正,方法見《儀表誤差修正方法》。
c.周期檢定的流量計可向廠家查詢出廠掛砝碼記錄。
d.滿量程的100%、75%、50%、35%、10%掛重三個點或五個點就可知流量計線性與測量范圍。
e.此砝碼掛重法用于帶溫壓補償式流量計時應配合壓力計和電阻箱方可進行。
六、危險場所安裝和防爆型產品的注意事項
電容式靶式流量計(以下簡稱流量計)防爆型產品,經**防爆電氣產品質量監督檢驗中心(CQST)檢驗,符合GB3836.1-2000 GB3836.1-2000《爆炸性氣體環境用電氣設備 *1部分:通用要求》,GB3836.2-2000 GB3836.2-2000《爆炸性氣體環境用電氣設備 *2部分:隔爆型“d”》及GB3836.4-2000《爆炸性氣體環境用電氣設備 *4部分:本質安全型“i”》標準規定的要求,產品防爆標志為ExdⅡCT4、ExiaⅡCT4。
1.流量計在下列環境條件下應能正常工作
a.大氣氣壓:86~106KPa
b.周圍環境溫度:-20℃~+60℃(8oF-140oF)
c.周圍環境相對濕度:≤95%RH(+25℃)
d.隔爆型流量計可適用于含有ⅡA、ⅡB、ⅡC級T1~T4組爆炸性氣體混合物的1區、2區的危險場所;
e.本安型流量計可適用于含有ⅡA、ⅡB、ⅡC級T1~T4組爆炸性氣體混合物的0區、1區、2區的危險場所;
2.用戶在安裝使用流量計時應注意下列事項
(安裝前須進行下列各項檢查,如不符合要求,則不準投入使用)
a.有防爆標志和防爆合格證編號,并與電容式靶式流量計的使用場所要求一致;
b.隔爆外殼各零部件聯接正確,緊固可靠;
c.所有隔爆零件應無裂紋和影響隔爆性能的缺陷;
d.用戶在使用流量計時應可靠接地;
e.隔爆型產品在現場使用,維護時必須遵守“嚴禁帶電開蓋”的原則;拆裝時,注意保護隔爆面和螺紋隔爆面不得磕碰和劃傷。
f.用戶不得自行隨意更換產品的電氣元件及系統配接狀態;
g.隔爆型產品的引入電纜*小外徑為φ6mm;
h.產品有冗余引入口,必須用我公司提供的堵頭堵封。
i.防爆產品使用一定周期后,必須更換老化件。如電纜引入裝置密封圈老化變質時應及時更換,我公司有配件,須在我公司購買。
3.本安型防爆產品還應注意
a.本產品符合GB3836.1-2000《爆炸性氣體環境用電氣設備 *1部分:通用要求》、GB3836.4-2000《爆炸性氣體環境用電氣設備 *4部分:本質安全型“i”》標準,防爆標志為:ExiaⅡCT4,它適用于0區、1區、2區,含有ⅡA~ⅡC類爆炸性氣體混合物場所。
b.本安參數:Ui=28VDC,Ii=93mA,Po=0.65W,Ci=0.045uF,Li=0.33mH;
c.產品安裝應按照GB3836.15-2000《爆炸性氣體環境用電氣設備 *15部分:危險場所電氣安裝(煤礦除外)》的有關規定進行。并由專業人員負責安裝。經過防爆認證合格的產品。不允許隨意更換或改動影響防爆性能的元器件和結構。
d.本產品必須與取得防爆合格證安全柵同時使用,安全柵須裝在安全場所,其安裝、使用、維護必須遵守安全柵使用說明書;
e.當產品用于連接爆炸性環境0區的本安型產品時,向安全柵供電的電源變壓器須符合GB3836.4-2000標準*8.1條款要求。
f.本安系統接線(圖11)

g.安全場所[Exia]ⅡC 危險場所 ExiaⅡCT4
h.本安系統參數都必須遵循如下匹配原則:Uo≤Ui;Io≤Ii;Po≤Pi;Cc≤Co-Ci;Lc≤Lo-Li
Cc、Lc:安全柵到本安產品之間連接電纜(或導線)允許總的*大分布電容和電感,Uo:安全柵的*高輸出電壓,Io:安全柵的*大輸出電流,Po:安全柵的*大輸出功率,Lo:安全柵允許的*大外部電感,Co:安全柵允許的*大外部電容;Ui:本安產品的*高輸入電壓,Ii:本安產品的*大輸入電流,Pi:本安產品的*大輸入功率,Li:本安產品的*大內部電感,Ci:本安產品的*大內部電容。符號詳細意義見GB3836.4-2000標準。
七、常見故障及排查
(流量計帶故障自檢程序,用戶通過顯示屏可查知部分原因!)
1.當管道內被測介質流速為零時,流量計示值瞬時流量值不為零,造成該現象的主要原因有:
a.安裝前后流量計水平度不一致,以至靶片和靶桿因傾斜而產生軸向水平分力導致瞬時流量存在;
b.流量計長期運行,其傳感器內部應力釋放產生微變;
c.安裝或運行過程中,嚴重過載造成零點漂移;
以上三種方式均可參照有關流量計清零的步驟和方法處理。
d.流量計殼體接地不良;
處理方法:用戶重新接地。
e.靶片、靶桿與測具之間被雜物卡住;
處理方法:關閉流量計前后閥門,用工具松開流量計過度部件與測量管之間的連接螺栓,并輕輕的晃動過渡部件或取出,清理雜物后照原樣復位即可。
2.流量計工作過程中示值出現非正常增大,造成該現象的主要原因有:
a.靶片以及靶桿上掛有絲狀及帶狀雜物;
處理方法:參照處理雜物方法。
b.高結垢條件下,靶片和靶桿產生嚴重結垢,使受力元件靶板沿測量管軸線上投影面積增加,即靶片與測量管之間環形過流面積減少,進而在相同流量下,傳感器受力增大,*終導致流量示值非正常增加;
處理方法:取下過渡部件,用工具將靶片和靶桿以及測量管內壁上的圬物清除即可。
3.計量誤差大,造成該現象的原因很多,其*主要的原因為以下幾種:
a.安裝時流量計與連接管道相對同心度出現較大錯位,密封墊片未同心,從而形成節流阻件,極大影響被測介質流態;
處理方法:調整安裝狀態。
b.流量計前后直管段太短,并于流量計前直接安裝了彎頭,閥門等極大干擾被測介質流態部件;
處理方法:按照說明書要求進行安裝或對流量計進行實地實流標定。
c.旁通管道泄漏;
處理方法:檢查及更換旁通管路。
d.靶片上繞纏有帶狀雜物,增大了靶片受力;
處理方法:參照前面處理雜物方法。
4.流量計無示值或無發信號,其原因主要有以下四種:
a.電源接觸不良或脫落;
處理方法:對于自帶電池的流量計,檢查電池是否裝穩,觸點是否良好,以及電池是否有電。對于外接電源,應檢查連接導線之間連接是否完好,導線是否導通,外供電源是否正常。
b.流量計電路損壞;
處理方法:返廠修理。
c.顯示屏損壞;
處理方法:返廠更換。
d.用戶信號接收系統故障;
處理方法:檢查、排除故障。
5.流量計運行過程中示值一直為零,此種現象主要原因有:
a.受力元件(靶片)脫落,導致傳感器無力感應;
處理方法:裝配相同規格的靶片。
b.流量計傳感器無電壓輸出信號;
處理方法:*先判斷傳感器是否損壞,具體的方法是看傳感器數據有無變化。
c.被測介質流量太小,低于流量計的*小刻度流量;
處理方法:返廠重新更換受力元件。
十、特別提示
1.更換電池
自帶電池供電的流量計,顯示屏出現模糊時,提示用戶電池電量將用盡。更換電池應為相同技術參數的電池,我公司流量計采用低功耗設計,電池根據不同工況及電池自身情況下可使用一至四年。
2.環境要求
流量計使用環境溫度為-30度至70度,盡管自身有相當的防護等級,對安裝在室外的流量儀表要加以相應遮雨及防碰撞措施。
上一篇:旋進旋渦流量計安裝要求
下一篇:靶式流量計的安裝要求